江西师范大学心理学院院长、教授/博士生导师 罗照盛
2021年,江西省成为第四批高考综合改革试点省份,采用“3+1+2”科目考试模式。其中“3”为全国统考科目语文、数学、外语,所有学生必考;“1”为首选科目,考生须在高中学业水平考试的历史、物理科目中选择其中一科;“2”为再选科目,考生可在思想政治、地理、化学、生物学4个科目中选择两科。
新一轮高考综合改革与以往高考相比有较大的变化,其中变化较大的是学业水平选择性考试及其赋分问题。在以往高考中,各科卷面分直接计入高考成绩,文理分科单独划线录取。新高考综合改革方案实施后,考生在4个再选科目中自主选择2科,形成了不同的选考科目群体。由于不同科目的难度不同,卷面分之间不具可比性,如果将不同科目的卷面分直接计入高考总成绩,既不公平也不科学。比如考生甲选考地理,考生乙选考化学,两人都考了80分,考生甲排在所有地理考生的第100位,考生乙排在所有化学考生的第1000位,考生甲在地理考生群体中的水平比考生乙在化学考生群体中的水平高,若简单将他们各科成绩直接相加计入考生总分进行比较,会有科学性和公平性问题。因此,需要将不同科目考生的卷面分(原始分)按照一定规则进行转换,转换前后考生的排名不变,由此解决不同再选科目之间成绩的可比性和可加性问题。
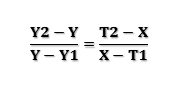
群体能力水平均衡基础上的等级赋分方案能够较好地解决这个问题。实行等级赋分,主要是基于学生选考科目不同、各科目试题难度不同、各科目原始成绩不具有可比性的原因,是从教育考试的公平、公正角度做出的。它是按照“原始成绩——百分比例——等级——转换成绩”的等级赋分路径将原始成绩转换成等级成绩。等级赋分转换公式如下,

上式中,Y1、Y2分别表示某等级内所有考生原始成绩区间的下限和上限;T1、T2分别表示相应等级的赋分区间的下限和上限;Y表示考生的原始成绩,X表示考生转换后的等级成绩。考生原始成绩正好为原始成绩区间上限或下限时,不需要按转换公式计算,相应的赋分区间的上限或下限分数即为该考生的等级成绩。根据转换公式计算的等级成绩遵循四舍五入的取整规则。转换时的赋分起点为30分,满分为100分。各等级的比例及赋分区间如下表所示:
等 级 | A | B | C | D | E |
比 例 | 15% | 35% | 35% | 13% | 2% |
赋分区间 | 100-86 | 85-71 | 70-56 | 55-41 | 40-30 |
具体的转换规则为:首先,将考生原始成绩从高到低划分为A、B、C、D、E共5个等级,各等级人数所占比例分别为15%、35%、35%、13%和2%。然后,将5个等级内的考生原始分,在五个对应的等级赋分区间内,依照等比例转换法则,分别转换得到考生的等级分。赋分前后,考生在该再选科目中的位次(排名)不变。
以思想政治科目为例来说明:某考生原始成绩(卷面成绩)为75分,首先,按照原始成绩从高到低和规定的等级比例,该考生被划定为B等级,假设划入B等级所有考生的原始成绩区间为82~61分;那么,根据等级赋分转换公式和B等级的赋分区间(85~71),将该考生的原始成绩转换成等级成绩,具体转换如下式:
(82-75)/(75-61)=(85-X)/(X-71)
得出上式中X的解,也就是该考生思想政治科目转换后的等级成绩为:X≈80,即该考生思想政治科目等级成绩为80分。
等级赋分方案不仅能够较好解决再选科目之间分数不等值、考生不同科目分数不能直接相加计入高考总分的问题,而且能够保持考生每门学科成绩排名顺序不变,确保成绩转换的公平公正,满足高校人才选拔需要,是在多种方法中选出的既能反应考生水平,又浅显易懂的评分方式。高考改革试点省市普遍采取了这种科学性、公正性和可操作性都较强的等级赋分方案。
另外,在全国试点实施等级赋分方案以来,选考以等级呈现造成了一定程度的选科群体站队现象,导致部分选考科目选科人数和选科学生能力分布出现较大变化。针对这种现象,改革省市制定了再选科目保障机制,依据国家人才宏观需求和高校人才选拔现实要求,保障再选科目的选科人数基数,确保了他们的利益不受损。
学业水平选择性考试赋分方案的设计,体现着以学生为本的价值取向,贯穿着促进学生全面而有个性地发展的主旨追求。该设计在公平性与操作性、统一性与多样性、传承与创新、大胆改革与平稳落地等多对矛盾关系中找到了平衡点与结合点。在改革过程中出现的新问题、新情况,只要保持改革初心,加强研究、做好统筹、稳妥推进,我们就能答好高考综合改革的江西卷。
参考文献:
1.于涵,韩宁,关丹丹,章建石,焦丽亚.(2018).关于改进新高考选考科目赋分方案的若干思考. 中国高教研究(06),44-49.
2.崔伟,殷乐,李晓庆,吕啸.(2018).计分方式及选考群体对学生选科成绩的影响. 教育测量与评价(03),57-62.
3.李鹏.赋分制怎样改变了高考?北京科技报,2021年7月9日,第016版.
4.彭文波,李祚山.(2020).新高考选择性考试科目分数转换的分析与展望. 中国教育学刊(9), 26-31.
5.辛涛,郑宏山,姜宇.(2020).新高考选考科目分数合成的现状与改进途径. 北京师范大学学报(社会科学版)(02),19-25.
6.王希常, 张敏强, 吕冰彩.(2021).新高考等级分数转换模型及算法实现策略分析. 中国考试(6), 6.
7.温忠麟.(2017).新高考选考科目计分方式探讨. 中国考试(12),23-29.
8.张远增.(2021).新高考学业水平等级考试的等级分连接研究. 中国考试(06),61-69.
![]() |
![]() |
|
| 本网站由江西省教育厅主办 | ||
| 地址:南昌市红角洲赣江南大道2888号江西教育发展大厦 隐私声明 使用帮助 | ||
| 严禁复制、镜像。备案序号:赣ICP备05005890号 | ||
赣公网安备 36010802000127号 网站标识码:3600000016 |
||
| 邮箱:sjytbgs@jxedu.gov.cn 电话:0791-96365 | ||